QUESTÃO 18
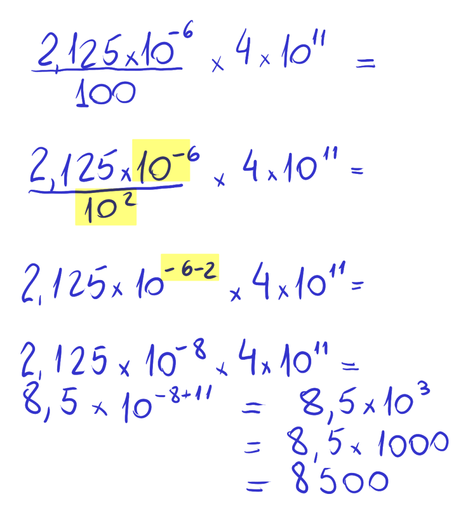
Admita que a Via Láctea tenha 4 × 1011 estrelas, das quais (2,125 × 10– 6)% sejam visíveis a olho nu a partir da Terra. Com esses dados, o número de estrelas da Via Láctea que são visíveis a olho nu a partir da Terra é
(A) 53 000.
(B) 530 000.
(C) 85 000.
(D) 850 000.
(E) 8 500.
